Eco Notepad

Not all geopolitical shocks are alike: the role of energy markets

Published on the 24th of November 2025
Authors : Marco Pinchetti

Post No. 420. Not all geopolitical shocks hit the economy in the same way – and that matters, especially for their transmission to inflation. This blog post, based on a recent Banque de France working paper, proposes a novel methodology to decompose geopolitical risk fluctuations into geopolitical energy shocks and geopolitical macro shocks.

The importance of distinguishing between types of geopolitical shocks 

Are all geopolitical shocks alike? In a recent working Paper (Pinchetti, 2025), I show that they are not. Chart 1 shows how geopolitical risk and oil prices have moved together – or not – from 1986 to 2022. The blue line tracks the Geopolitical Risk Index (GPR) by Caldara et Iacoviello (2022),while the red line shows oil prices (West Texas Intermediate index, WTI, deflated by the US consumer price index). Some events, like the Gulf War or the Russian invasion of Ukraine, trigger supply disruptions in energy markets. Others, such as the 9/11 attacks, primarily affect broader macroeconomic sentiment, often leading to falling oil prices. This study introduces a new way to tell different geopolitical shocks apart – by looking at how oil prices and geopolitical risk move together around major events. When both spike, it signals a geopolitical energy shock, typically driven by fears of supply disruptions. But when geopolitical risk rises while oil prices fall, it points to a geopolitical macro shock, reflecting broader concerns about the global economy rather than energy markets.

Chart 1:  Geopolitical Risk Index (GPR) and oil prices (WTI)

image Image Chart 1:  Geopolitical Risk Index (GPR) and oil prices (WTI) Thématique Inflation Catégorie Eco Notepad
Note: GPR = Geopolitical Risk Index (log); WTI = West Texas Intermediate oil price (log, deflated by the US Consumer Price Index). Sources: Caldara and Iacoviello (2022), US Energy Information Administration

Identifying geopolitical shocks through high-frequency sign restrictions

Geopolitical shocks of different kinds can be identified by looking at comovements of the geopolitical risk index and oil prices around key geopolitical episodes. To do so, I construct a new dataset of three-day “surprise” responses of the geopolitical risk index and oil prices around 31 major geopolitical events since 1986. The idea is to focus on what happens at the geopolitical risk index and oil prices around major geopolitical events. When GPR and oil prices rise together, I interpret the event as a geopolitical energy shock. When GPR rises but oil prices fall, I interpret it as a geopolitical macro shock.
 
This comovement between oil prices and the geopolitical risk index is measured using a three-day window around key events – a technique inspired by high-frequency methods in monetary policy research. In particular, the paper builds on the approach developed by Jarociński et Karadi (2020),which uses short-term market reactions to disentangle overlapping shocks. By applying this framework to geopolitical events, the paper constructs a dataset of "surprises" – sudden shifts in risk and oil prices – and feeds it into a structural vector autoregression model (VAR) identified by imposing sign restrictions on the comovement of GPR and oil prices around the largest geopolitical events in the GPR series (>3 standard deviations).

Inflationary or deflationary? It depends on the type of shock

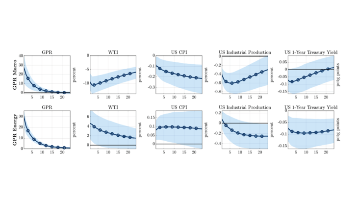
The effects of these shocks on the US economy differ in meaningful ways. As illustrated in Chart 2, while both shock types are contractionary for output, their effects on inflation diverge. Geopolitical energy shocks raise both geopolitical risk and oil prices. They act like adverse supply shocks, increasing production costs and consumer prices. In contrast, geopolitical macro shocks typically raise geopolitical risk but are associated with falling oil prices, reflecting demand-side concerns. Quantitatively, geopolitical energy shocks on average raise inflation by up to 0.2%, while macro shocks on average reduce it by 0.1%-0.4%. This inflationary effect of energy shocks persists for several months and reflects their supply-side nature, similar to conventional oil price shocks.  

Chart 2: Macroeconomic effects of GPR macro and energy shocks

image Image Chart 2: Macroeconomic effects of GPR macro and energy shocks Thématique Inflation Catégorie Eco Notepad
Note: Responses to a one standard deviation GPR shock. Shaded areas represent 68% credible sets.

Energy intensity explains sectoral differences

In the working paper, I validate this classification using sectoral data on US manufacturing industries. The results confirm that energy-intensive sectors suffer more under geopolitical energy shocks. Their output contracts more sharply, and their prices rise significantly more than those of other sectors. For example, sectors such as basic metals and petroleum products are particularly vulnerable, with output declines reaching -3% and price increases exceeding 1% following energy-related shocks. These sector-level findings reinforce the view that energy channels are the dominant driver of inflationary pressure during major geopolitical episodes.

Conclusion: Two shocks, two paths

Geopolitical shocks do not always have the same kind of macro consequences. Their economic consequences hinge on their underlying nature. Identifying and responding to these differences is essential for effective policymaking – particularly in a world where geopolitical tensions are likely to remain high. 

Updated on the 5th of December 2025